Mini-adapton: 用 MoonBit 实现增量计算
介绍
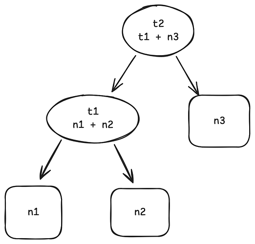
让我们先用一个类似 excel 的例子感受一下增量计算长什么样子. 首先, 定义一个这样的依赖图:
在这个图中, t1 的值通过 n1 + n2 计算得到, t2 的值通过 t1 + n3 计算得到.
当我们想得到 t2 的值时, 该图定义的计算将被执行: 首先通过 n1 + n2 算出 t1, 再通过 t1 + n3 算出 t2. 这个过程和非增量计算是相同的.
但当我们开始改变n1, n2 或 n3 的值时, 事情就不一样了. 比如说我们想将 n1 和 n2 的值互换, 再得到 t2 的值. 在非增量计算中, t1 和 t2 都将被重新计算一遍, 但实际上 t2 是不需要被重新计算的, 因为它依赖的两个值 t1 和 n3 都没有改变 (将 n1 和 n2 的值互换不会改变 t1 的值).
下面的代码实现了我们刚刚举的例子. 我们使用 Cell::new 来定义 n1, n2 和 n3 这些不需要计算的东西, 使用 Thunk::new 来定义 t1 和 t2 这样需要计算的东西.
test {
// a counter to record the times of t2's computation
let mut cnt = 0
// start define the graph
let n1 = Cell::new(1)
let n2 = Cell::new(2)
let n3 = Cell::new(3)
let t1 = Thunk::new(fn() {
n1.get() + n2.get()
})
let t2 = Thunk::new(fn() {
cnt += 1
t1.get() + n3.get()
})
// get the value of t2
inspect(t2.get(), content="6")
inspect(cnt, content="1")
// swap value of n1 and n2
n1.set(2)
n2.set(1)
inspect(t2.get(), content="6")
// t2 does not recompute
inspect(cnt, content="1")
}
在这篇文章中, 我们将介绍如何在 MoonBit 中实现一个增量计算库. 这个库的 API 就是我们上面例子中出现的那些:
Cell::new
Cell::get
Cell::set
Thunk::new
Thunk::get
问题分析和解法
要实现这个库, 我们主要有三个问题需要解决:
如何在运行时构建依赖图
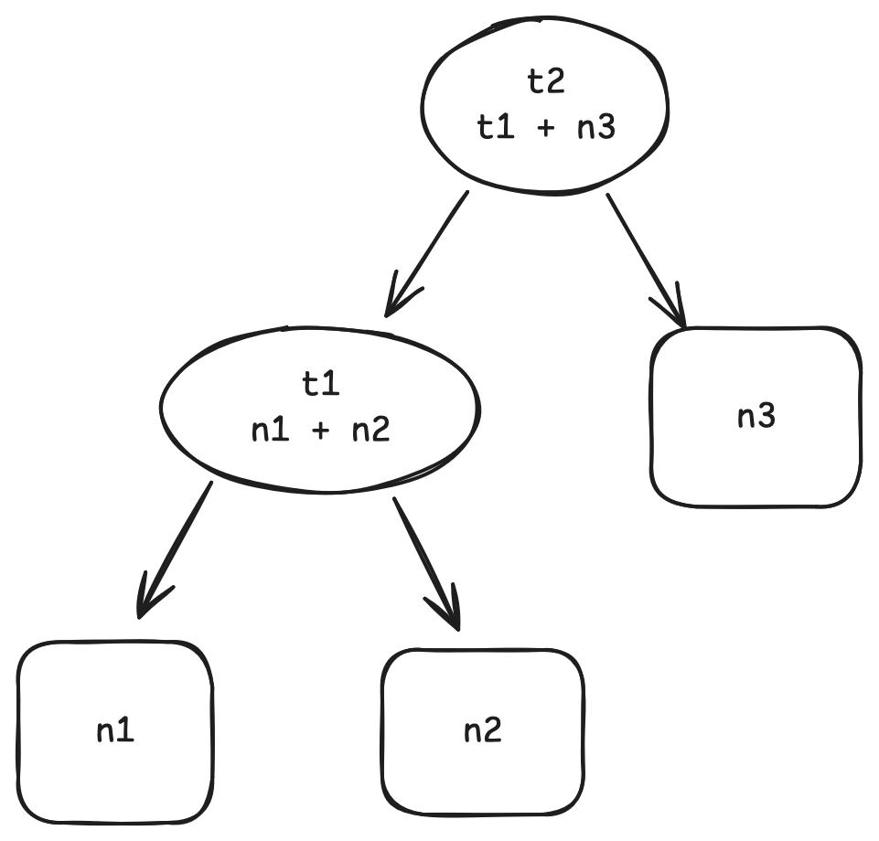
作为一个使用 MoonBit 实现的库, 没有简单方法让我们可以静态地构建依赖图, 因为 MoonBit 目前还不支持任何元编程的机制. 因此我们需要动态地把依赖图构建出来. 事实上, 我们关心的只是哪些 thunk 或 cell 被另一个 thunk 依赖了, 所以一个不错的构建依赖图的时机就是在用户调用 Thunk::get 的时候. 比如在上面的例子中:
let n1 = Cell::new(1)
let n2 = Cell::new(2)
let n3 = Cell::new(3)
let t1 = Thunk::new(fn() { n1.get() + n2.get() })
let t2 = Thunk::new(fn() { t1.get() + n3.get() })
t2.get()
当用户调用 t2.get() 时, 我们在运行时会知道 t1.get() 和 n3.get() 在其中也被调用了. 因此 t1 和 n3 是 t2 的依赖, 并且我们可以构建一个这样的图:
同样的过程也会在 t1.get() 被调用时发生.
所以计划是这样的:
- 我们定义一个栈来记录我们当前在获得哪个 thunk 的值. 在这里使用栈的原因是, 我们事实上是在尝试记录每个
get的调用栈. - 当我们调用
get时, 将其标记为栈顶 thunk 的依赖, 如果它是一个 thunk, 再把它压栈. - 当一个 thunk 的
get结束时, 将它出栈.
让我们看看上面那个例子在这个算法下的过程是什么样子的:
-
当我们调用
t2.get时, 将t2压栈.

-
当我们在
t2.get中调用t1.get时, 将t1记为t2的依赖, 并将t1压栈.
-
当我们在
t1.get中调用n1.get时, 将 n1 记为t1的依赖
-
相同的过程发生在
n2身上.
-
当
t1.get结束时, 将t1出栈.
-
当我们调用
n3.get时, 将n3记为t2的依赖.
除了这些从父依赖到子依赖的边之外, 我们最好也记录一个从子依赖到父依赖的边, 方便后面我们在这个图上反向便利.
在接下来的代码中, 我们将使用 outgoing_edges 指代从父依赖到子依赖的边, 使用 incoming_edges 指代中子依赖到父依赖的边.
如何标记过时的节点
当我们调用 Cell::set 时, 该节点本身和所有依赖它的节点都应该被标记为过时的. 这将在后面作为判断一个 thunk 是否需要重新计算的标准之一. 这基本上是一个从图的叶子节点向后遍历的过程. 我们可以用这样的伪 MoonBit 代码表示这个算法:
fn dirty(node: Node) -> Unit {
for n in node.incoming_edges {
n.set_dirty(true)
dirty(node)
}
}
如何决定一个 thunk 需要被重新计算
当我们调用 Thunk::get 时, 我们需要决定是否它需要被重新计算. 但只用我们在上一节描述的方法是不够的. 如果我们只使用是否过时这一个标准进行判断, 势必会有不需要的计算发生. 比如我们在一开始给出的例子:
n1.set(2)
n2.set(1)
inspect(t2.get(), content="6")
当我们调换 n1 和 n2 的值时, n1, n2, t1 和 t2 都应该被标记为过时, 但当我们调用 t2.get 时, 其实没有必要重新计算 t2, 因为 t1 的值并没有改变.
这提醒我们除了过时之外, 我们还要考虑依赖的值是否和它上一次的值一样. 如果一个节点既是过时的, 并且它的依赖中存在一个值和上一次不同, 那么它应该被重新计算.
我们可以用下面的伪 MoonBit 代码描述这个算法:
fn propagate(self: Node) -> Unit {
// 当一个节点过时了, 它可能需要被重新计算
if self.is_dirty() {
// 重新计算之后, 它将不在是过时的
self.set_dirty(false)
for dependency in self.outgoing_edges() {
// 递归地重新计算每个依赖
dependency.propagate()
// 如果一个依赖的值改变了, 这个节点需要被重新计算
if dependency.is_changed() {
// 移除所有的 outgoing_edges, 它们将在被计算时重新构建
self.outgoing_edges().clear()
self.evaluate()
return
}
}
}
}
实现
基于上面描述的代码, 实现是比较直观的.
首先, 我们先定义 Cell:
struct Cell[A] {
mut is_dirty : Bool
mut value : A
mut is_changed : Bool
incoming_edges : Array[&Node]
}
由于 Cell 只会是依赖图中的叶子节点, 所以它没有 outgoing_edges. 这里出现的特征 Node 是用来抽象依赖图中的节点的.
接着, 我们定义 Thunk:
struct Thunk[A] {
mut is_dirty : Bool
mut value : A?
mut is_changed : Bool
thunk : () -> A
incoming_edges : Array[&Node]
outgoing_edges : Array[&Node]
}
Thunk 的值是可选的, 因为它只有在我们第一次调用 Thunk::get 之后才会存在.
我们可以很简单地给这两个类型实现 new:
fn[A : Eq] Cell::new(value : A) -> Cell[A] {
Cell::{
is_changed: false,
value,
incoming_edges: [],
is_dirty: false,
}
}
fn[A : Eq] Thunk::new(thunk : () -> A) -> Thunk[A] {
Thunk::{
value: None,
is_changed: false,
thunk,
incoming_edges: [],
outgoing_edges: [],
is_dirty: false,
}
}
Thunk 和 Cell 是依赖图的两种节点, 我们可以使用一个特征 Node 来抽象它们:
trait Node {
is_dirty(Self) -> Bool
set_dirty(Self, Bool) -> Unit
incoming_edges(Self) -> Array[&Node]
outgoing_edges(Self) -> Array[&Node]
is_changed(Self) -> Bool
evaluate(Self) -> Unit
}
为两个类型实现这个特征:
impl[A] Node for Cell[A] with incoming_edges(self) {
self.incoming_edges
}
impl[A] Node for Cell[A] with outgoing_edges(_self) {
[]
}
impl[A] Node for Cell[A] with is_dirty(self) {
self.is_dirty
}
impl[A] Node for Cell[A] with set_dirty(self, new_dirty) {
self.is_dirty = new_dirty
}
impl[A] Node for Cell[A] with is_changed(self) {
self.is_changed
}
impl[A] Node for Cell[A] with evaluate(_self) {
()
}
impl[A : Eq] Node for Thunk[A] with is_changed(self) {
self.is_changed
}
impl[A : Eq] Node for Thunk[A] with outgoing_edges(self) {
self.outgoing_edges
}
impl[A : Eq] Node for Thunk[A] with incoming_edges(self) {
self.incoming_edges
}
impl[A : Eq] Node for Thunk[A] with is_dirty(self) {
self.is_dirty
}
impl[A : Eq] Node for Thunk[A] with set_dirty(self, new_dirty) {
self.is_dirty = new_dirty
}
impl[A : Eq] Node for Thunk[A] with evaluate(self) {
node_stack.push(self)
let value = (self.thunk)()
self.is_changed = match self.value {
None => true
Some(v) => v != value
}
self.value = Some(value)
node_stack.unsafe_pop() |> ignore
}
这里唯一复杂的实现是 Thunk 的 evaluate. 这里我们需要先把这个 thunk 推到栈顶用于后面的依赖记录. node_stack 的定义如下:
let node_stack : Array[&Node] = []
然后做真正的计算, 并且把计算得到的值和上一个值做比较以更新 self.is_changed. is_changed 会在后面帮助我们判断是否需要重新计算一个 thunk.
dirty 和 propagate 的实现几乎和上面的伪代码相同:
fn &Node::dirty(self : &Node) -> Unit {
for dependent in self.incoming_edges() {
if not(dependent.is_dirty()) {
dependent.set_dirty(true)
dependent.dirty()
}
}
}
fn &Node::propagate(self : &Node) -> Unit {
if self.is_dirty() {
self.set_dirty(false)
for dependency in self.outgoing_edges() {
dependency.propagate()
if dependency.is_changed() {
self.outgoing_edges().clear()
self.evaluate()
return
}
}
}
}
有了这些函数的帮助, 最主要的三个 API: Cell::get, Cell::set 和 Thunk::get 实现起来就比较简单了.
为了得到一个 cell 的值, 我们直接返回结构体的 value 字段即可. 但在此之前, 如果它是在一个 Thunk::get 中被调用的, 我们要先把他记录为依赖.
fn[A] Cell::get(self : Cell[A]) -> A {
if node_stack.last() is Some(target) {
target.outgoing_edges().push(self)
self.incoming_edges.push(target)
}
self.value
}
当我们更改一个 cell 的值时, 我们需要先确保 is_changed 和 dirty 这两个状态被正确地更新了, 再将它的每一个父依赖标记为过时.
fn[A : Eq] Cell::set(self : Cell[A], new_value : A) -> Unit {
if self.value != new_value {
self.is_changed = true
self.value = new_value
self.set_dirty(true)
&Node::dirty(self)
}
}
和 Cell::get 类似, 在实现 Thunk::get 时我们需要先将 self 记录为依赖. 之后我们模式匹配 self.value, 如果它是 None, 这意味着这是第一次用户尝试计算这个 thunk 地值, 我们可以简单地直接计算它; 如果它是 Some, 我们需要使用 propagate 来确保我们只重新计算那些需要的 thunk.
fn[A : Eq] Thunk::get(self : Thunk[A]) -> A {
if node_stack.last() is Some(target) {
target.outgoing_edges().push(self)
self.incoming_edges.push(target)
}
match self.value {
None => self.evaluate()
Some(_) => &Node::propagate(self)
}
self.value.unwrap()
}
参考
- Adapton: Composable, demand-driven incremental computation, PLDI 2014 adapton 的原论文
- illusory0x0/adapton.mbt adapton 库的 MoonBit 实现






